PEER-REVIEWED PUBLICATIONS and PATENTS (*indicates undergraduate student coauthor, †indicates PI, ‡indicates external collaborator)
Independent Research:
14. *Fossatti, L.; *Dinger, N.; *Nelson, A.; *Vanderwel, A.; †Chamberland, S. Preparation of Spiro-2,6- Dihalocyclohexadienoneisoxazolines by Halogenation of Tyrosine N-oxime tert-butyl ester. manuscript in preparation
13. *Payne, M.; *Fossatti, L.; †Chamberland, S. On the Halogenation of Tyrosine N-oxime methyl ester. Eur. J. Org. Chem. 2024, e202401153. DOI: 10.1002/ejoc.202401153

12.†Chamberland, Stephen B.; *Payne, Morgan. PREPARATION OF MONOHALOGENATED AND HOMO AND HETERODIHALOGENATED DERIVATIVES OF TYROSINE N-OXIME METHYL ESTER. U.S. Patent Appl. 63,411,491, September 29, 2022
11.†Chamberland, Stephen B.; *Payne, Morgan. PREPARATION OF ACHIRAL SPIRO-2,6- DIHALOCYCLOHEXADIENONEISOXAZOLINE DERIVATIVES OF A PHENOLIC OXIME VIA A TANDEM DOUBLE-HALOGENATION, OXIDATIVE-DEAROMATIZATION SEQUENCE. U.S. Patent Appl. 63,411,501, September 29, 2022
10.*Maxfield, K.; *Payne, M.; †Chamberland, S. Total Synthesis and Biological Evaluation of Clavatadines C–E. ACS Omega, 2022, 7 (26), 22915-22929. DOI: 10.1021/acsomega.2c02913. A preprint of this manuscript was uploaded to ChemRxiv on April 1, 2022.

9. *Davenport, M. T.; *Dickson, J. A.; *Johnson, M. R. Chamberland, S. Total Synthesis of Clavatadine B. J. Nat. Prod. 2019, 82, 3191–3195. DOI: 10.1021/acs.jnatprod.9b00813

8. Malmberg, C. E.; †Chamberland, S. A Direct, Early Stage Guanidinylation Protocol for the Synthesis of Complex Aminoguanidine-containing Natural Products. J. Vis. Exp., 2016, 115, e53593, DOI: 10.3791/53593
https://www.jove.com/embed/player?id=53593&access=k3mp2ptq&t=1&a=1&i=1&s=1
7. *Conn, S. J.; *Vreeland, S. M.; *Wexler, A. N.; ‡Pouwer, R. H.; ‡Quinn, R. J.; †Chamberland, S. Total Synthesis of Clavatadine A. J. Nat. Prod. 2015, 78, 120-124. DOI: 10.1021/np500772u
6. *Buchanan, J. C.; *Petersen, B. P.; †Chamberland, S. Concise Total Synthesis of Phidianidine A and B. Tetrahedron Lett. 2013, 54, 6002-6004. DOI: 10.1016/j.tetlet.2013.08.063
Undergraduate, Graduate, and Postdoctoral Research:
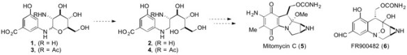
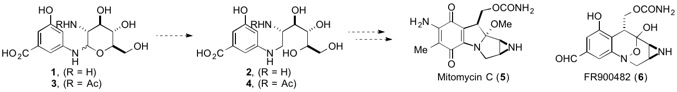
5. Chamberland, S.; Grüschow, S.; †Sherman, D. H.; †Williams, R. M. Synthesis of Potential Early-Stage Intermediates in the Biosynthesis of FR900482 and Mitomycin C. Org. Lett. 2009, 11, 791–794. DOI: 10.1021/ol802631c
4. Namiki, H. N.; Chamberland, S.; Gubler, D. A.; †Williams, R. M. Synthetic and Biosynthetic Studies of FR900482 and Mitomycin C: An Efficient and Stereoselective Hydroxymethylation of an Advanced Benzazocane Intermediate. Org. Lett. 2007, 9, 5341–5344. DOI: 10.1021/ol701960v
3. Chamberland, S.; §Ziller, J. W.; †Woerpel, K. A. Structural Evidence that Alkoxy Substituents Adopt Electronically Preferred Pseudoaxial Orientations in Six-Membered Ring Dioxocarbenium Ions. J. Am. Chem. Soc. 2005, 127, 5322–5323. § indicates X-ray crystallographer. DOI: 10.1021/ja050830i
2. Chamberland, S.; †Woerpel, K. A. Using Nucleophilic Substitution Reactions to Understand How a Remote Alkyl or Alkoxy Substituent Influences the Conformation of Eight-Membered Ring Oxocarbenium Ions. Org. Lett. 2004, 6, 4739–4741. DOI: 10.1021/ol047998d
1. †Kelly, T. R.; *Chamberland, S.; Silva, R. A. Total Synthesis of Luotonin A. Tetrahedron Lett. 1999, 40, 2723–2724. DOI: 10.1016/S0040-4039(99)00349-4





